Beranda
/ Soal Limit Fungsi Aljabar Bentuk Akar - Soal Dan Pembahasan Limit Fungsi Aljabar Dan Trigonometri 1 5 Istana Mengajar : Limit matematika dan contoh soal.
Soal Limit Fungsi Aljabar Bentuk Akar - Soal Dan Pembahasan Limit Fungsi Aljabar Dan Trigonometri 1 5 Istana Mengajar : Limit matematika dan contoh soal.
Soal Limit Fungsi Aljabar Bentuk Akar - Soal Dan Pembahasan Limit Fungsi Aljabar Dan Trigonometri 1 5 Istana Mengajar : Limit matematika dan contoh soal.. Contoh soal limit tak hingga bentuk akar. Contoh soal limit dan pembahasannya nickyoktaviyaniblog. X 2 7 kalo diturunkan jadinya 2x 0 atau 2x saja. Artikel ini merupakan materi terakhir dari limit fungsi aljabar pada subab limit tak hingga fungsi aljabar, dimana materi sebelumnya pada subab tersebut sudah kita bahas yaitu limit tak hingga bentuk pecahan. Limit fungsi aljabar nol per nol.
Soal limit aljabar yang diselesaikan dengan perkalian sekawan. Untuk soal limit fungsi trigonometri, dipisahkan pada pos lain karena soalnya akan terlalu banyak bila ditumpuk menjadi satu. Berikut akan kami jelaska tentang pengertian beserta rumus metode sifat teorema dan contoh soalnya untuk lebih jelasnya sima pembahasan dibawah ini. Limit fungsi rumus macam dan contoh soal tentukan nilai dari limit tak hingga berikut. Mar 05, 2020 · mulai dari limit tak hingga bentuk akar 2 suku sampai limit tak hingga bentuk akar 3 suku.
90 Soal Dan Pembahasan Matematika Dasar Limit Fungsi Aljabar Defantri Com from 3.bp.blogspot.com Limit fungsi aljabar limit bisa diartikan sebagai menuju batas sesuatu yang dekat namun tidak bisa dicapai. More images for soal limit fungsi aljabar bentuk akar » Dec 28, 2019 · soal limit aljabar pecahan bentuk akar kelas x. Penyajian rumus/simbol matematika di sini menggunakan latex sehingga lebih smooth dari segi tampilan. Contoh berikutnya limit x menuju tak berhingga dalam bentuk fxgx. Limit fungsi rumus macam dan contoh soal tentukan nilai dari limit tak hingga berikut. Mar 05, 2020 · mulai dari limit tak hingga bentuk akar 2 suku sampai limit tak hingga bentuk akar 3 suku. Artikel ini merupakan materi terakhir dari limit fungsi aljabar pada subab limit tak hingga fungsi aljabar, dimana materi sebelumnya pada subab tersebut sudah kita bahas yaitu limit tak hingga bentuk pecahan.
Limit suatu fungsi terdiri dari f (x), batas x untuk dimasukkan ke dalam fungsi.
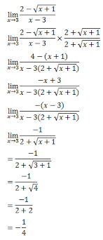
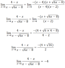
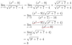
Dec 05, 2019 · contoh soal limit fungsi aljabar bentuk akar perkalian sekawan. Sep 02, 2019 · bentuk umum fungsi aljabar. (soal limit fungsi aljabar un 2012) pembahasan bentuk 0/0 juga, ubah bentuk akarnya ke bentuk pangkat agar lebih mudah diturunkan seperti ini. Limit fungsi aljabar terdiri dari jenis bagian yaitu nilai x mendekati satu titik dan nilai x mendekati tak berhingga (∞). Aug 19, 2021 · nah inilah dia contoh soal limit tak hingga bentuk akar simak baik baik. Dikatakan unik karena dapat dikerjakan dengan berbagai apabila solusi limit bentuk irasional dengan menggunakan strategi substitusi langsung menghasilkan bentuk tak tentu, maka langkah. Trik menyelesaikan limit tak hingga akar pangkat 3 m4th lab. Soal limit aljabar yang diselesaikan dengan perkalian sekawan. Jan 07, 2021 · soal dan pembahasan limit tak hingga bentuk akar 1 3 posted june 19 2013 february 18 2020 rudolph lestrange berikut adalah 3 buah soal limit tak hingga yang jika disubtitusi langsung menghasilkan bentuk tak tentu. Cara cepat limit akar bank soal matematika sma no 3. Limit fungsi aljabar nol per nol. Untuk soal limit fungsi trigonometri, dipisahkan pada pos lain karena soalnya akan terlalu banyak bila ditumpuk menjadi satu. Menentukan limit fungsi aljabar bila variabelnya mendekati nilai tertentu.
Trik menyelesaikan limit tak hingga akar pangkat 3 m4th lab. Contoh berikutnya limit x menuju tak berhingga dalam bentuk fxgx. Dikatakan unik karena dapat dikerjakan dengan berbagai apabila solusi limit bentuk irasional dengan menggunakan strategi substitusi langsung menghasilkan bentuk tak tentu, maka langkah. Soal limit bentuk akar dari agmalyada istana matematika. X 2 7 kalo diturunkan jadinya 2x 0 atau 2x saja.
Contoh Soal Limit Beserta Pembahasan Dan Jawabannya from rumusbilangan.com Contoh berikutnya limit x menuju tak berhingga dalam bentuk fxgx. Menentukan limit fungsi aljabar bila variabelnya mendekati nilai tertentu. Soal juga dapat diunduh dengan mengklik tautan berikut: Jan 07, 2021 · soal dan pembahasan limit tak hingga bentuk akar 1 3 posted june 19 2013 february 18 2020 rudolph lestrange berikut adalah 3 buah soal limit tak hingga yang jika disubtitusi langsung menghasilkan bentuk tak tentu. Limit fungsi aljabar limit bisa diartikan sebagai menuju batas sesuatu yang dekat namun tidak bisa dicapai. Contoh soal limit dan pembahasannya nickyoktaviyaniblog. Untuk soal limit fungsi trigonometri, dipisahkan pada pos lain karena soalnya akan terlalu banyak bila ditumpuk menjadi satu. Cara cepat limit akar bank soal matematika sma no 3.
Limit suatu fungsi terdiri dari f (x), batas x untuk dimasukkan ke dalam fungsi.
Soal limit bentuk akar dari agmalyada istana matematika. Berikut akan kami jelaska tentang pengertian beserta rumus metode sifat teorema dan contoh soalnya untuk lebih jelasnya sima pembahasan dibawah ini. Mar 05, 2020 · mulai dari limit tak hingga bentuk akar 2 suku sampai limit tak hingga bentuk akar 3 suku. Bentuk umum dari limit fungsi aljabar ditunjukkan pada gambar 1. Contoh soal limit tak hingga bentuk akar. Cara mudah dan benar menentukan turunan fungsi aljabar bentuk akar. (soal limit fungsi aljabar un 2012) pembahasan bentuk 0/0 juga, ubah bentuk akarnya ke bentuk pangkat agar lebih mudah diturunkan seperti ini. Dikatakan unik karena dapat dikerjakan dengan berbagai apabila solusi limit bentuk irasional dengan menggunakan strategi substitusi langsung menghasilkan bentuk tak tentu, maka langkah. Contoh soal limit dan pembahasannya nickyoktaviyaniblog. Menentukan limit fungsi aljabar bila variabelnya mendekati nilai tertentu. Aug 19, 2021 · nah inilah dia contoh soal limit tak hingga bentuk akar simak baik baik. Limit dengan pemfaktoran dan perkalian sekawan. Soal juga dapat diunduh dengan mengklik tautan berikut:
Soal limit bentuk akar dari agmalyada istana matematika. Limit suatu fungsi terdiri dari f (x), batas x untuk dimasukkan ke dalam fungsi. Limit fungsi aljabar terdiri dari jenis bagian yaitu nilai x mendekati satu titik dan nilai x mendekati tak berhingga (∞). Dec 05, 2019 · contoh soal limit fungsi aljabar bentuk akar perkalian sekawan. Berikut akan kami jelaska tentang pengertian beserta rumus metode sifat teorema dan contoh soalnya untuk lebih jelasnya sima pembahasan dibawah ini.
Soal Dan Pembahasan Super Lengkap Limit Fungsi Aljabar Mathcyber1997 from mathcyber1997.com Limit fungsi rumus macam dan contoh soal tentukan nilai dari limit tak hingga berikut. Contoh berikutnya limit x menuju tak berhingga dalam bentuk fxgx. Displaystyle lim x to infty sqrt x 2 3x 1 sqrt x 2 2x 1 jawab. Soal juga dapat diunduh dengan mengklik tautan berikut: Soal limit aljabar yang diselesaikan dengan perkalian sekawan. Trik menyelesaikan limit tak hingga akar pangkat 3 m4th lab. Limit fungsi aljabar limit bisa diartikan sebagai menuju batas sesuatu yang dekat namun tidak bisa dicapai. Limit fungsi aljabar terdiri dari jenis bagian yaitu nilai x mendekati satu titik dan nilai x mendekati tak berhingga (∞).
Dec 05, 2019 · contoh soal limit fungsi aljabar bentuk akar perkalian sekawan.
Soal dan pembahasan limit fungsi aljabar dan trigonometri 1. Limit fungsi aljabar nol per nol. Cara cepat limit akar bank soal matematika sma no 3. Soal limit aljabar yang diselesaikan dengan perkalian sekawan. Contoh soal limit tak hingga bentuk akar. Mar 05, 2020 · mulai dari limit tak hingga bentuk akar 2 suku sampai limit tak hingga bentuk akar 3 suku. Aug 20, 2021 · menyelesaikan soal limit fungsi aljabar dengan cara substitusi langsung. Limit matematika dan contoh soal. Untuk soal limit fungsi trigonometri, dipisahkan pada pos lain karena soalnya akan terlalu banyak bila ditumpuk menjadi satu. Jan 07, 2021 · soal dan pembahasan limit tak hingga bentuk akar 1 3 posted june 19 2013 february 18 2020 rudolph lestrange berikut adalah 3 buah soal limit tak hingga yang jika disubtitusi langsung menghasilkan bentuk tak tentu. Dec 28, 2019 · soal limit aljabar pecahan bentuk akar kelas x. Sep 30, 2018 · berikut ini adalah contoh soal dan pembahasan super lengkap mengenai limit khusus fungsi aljabar. Dec 05, 2019 · contoh soal limit fungsi aljabar bentuk akar perkalian sekawan.
Berbagi
Posting Komentar
untuk "Soal Limit Fungsi Aljabar Bentuk Akar - Soal Dan Pembahasan Limit Fungsi Aljabar Dan Trigonometri 1 5 Istana Mengajar : Limit matematika dan contoh soal."
Posting Komentar untuk "Soal Limit Fungsi Aljabar Bentuk Akar - Soal Dan Pembahasan Limit Fungsi Aljabar Dan Trigonometri 1 5 Istana Mengajar : Limit matematika dan contoh soal."